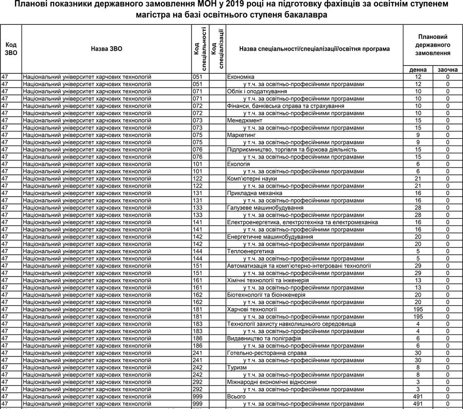
Рішення конкурсної комісії МОН 16.07.2019 по розподілу планових показників державного замовлення Міністерства освіти і науки у 2019 році на підготовку магістрів на основі освітнього ступеня бакалавра

Рішення конкурсної комісії МОН 16.07.2019 по розподілу планових показників державного замовлення Міністерства освіти і науки у 2019 році на підготовку магістрів на основі освітнього ступеня бакалавра

Дякуємо!
Ми зв'яжемося з вами найближчим часом!